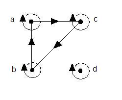
7.4.6


To make the graph have reflexive closure, I just needed to make all of the elements reflexive by drawing loop arrows around them.